老哥稳论坛com最新版本更新内容,珠海桑拿论坛0756sn,栖凤楼品茶全国楼凤app软件,滁州龙凤茶楼论坛地址
Close
首页
综合新闻
实验室动态
学术交流
-出访交流
-来访交流
开放交流
1. 对外开放情况
-1.1 开放课题
-1.2 社会开放和科普工作
2. 国内外学术交流情况
3. 承办大型学术会议情况
4. 客座人员情况
5. 实验室学术委员会组成
6. 公用平台
7. 运行管理
-7.1 办公条件
-7.2 运行管理制度
8. 依托单位支持情况
科研成果
文章
专利
软著
获奖
年报
队伍建设
研究队伍
-实验室领导
-分子影像前沿
-医学大数据分析
-智能医疗机器人
博士后
综合办
研究生
研究方向
分子影像前沿
-分子影像
-结构成像
-功能成像
生物医学大数据
智能医疗机器人
科研项目
在研项目
结题项目
平台建设
学术委员会
硬件平台
软件平台
合作平台
科研共享平台
-平台简介
-仪器列表
-平台队伍
-服务项目
-相关下载
-平台资质
软件下载
招生招聘
首页
>
综合新闻
>
实验室动态
实验动物许可证
2020-12-01
基于稀土纳米颗粒的肝癌、食管癌的多模态成像及近红外二区荧光手术导航研究
2020-10-09
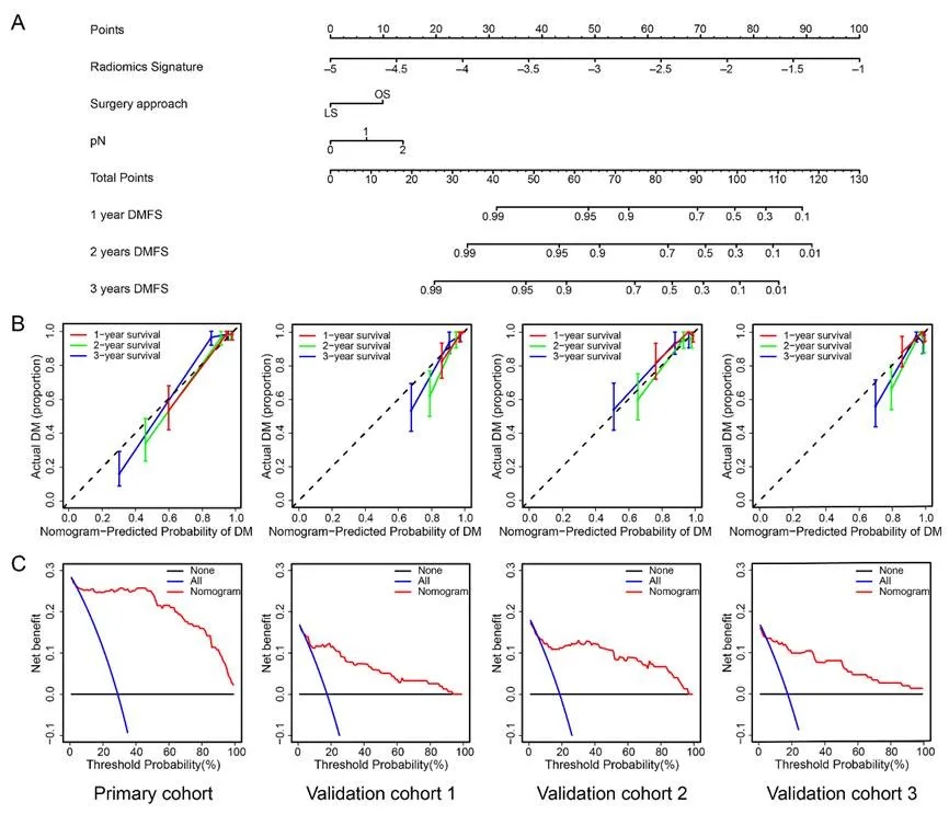
中科院分子影像重点实验室与国内多家医院合作在影像组学智能预测直肠癌术后远端转移方面取得进展
2020-11-11
中科院分子影像重点实验室提出人工智能新方法 预测肺癌肿瘤突变负荷和免疫治疗疗效
2020-11-11
实验室自主研发的技术转移成果“术中光学分子影像精准导航系统”系列产品获药监局产品注册证及欧盟CE认证...
2020-05-08
中科院分子影像重点实验室与合作单位基于光学多模分子影像技术为抗肿瘤新药筛选提供新方法
2019-04-09
中科院分子影像重点实验室配合合作医院实现乳腺癌新辅助化疗效果预测新突破
2019-03-14
中科院分子影像重点实验室提出人工智能新方法:实现肺癌EGFR基因突变预测新突破
2019-03-04
中科院分子影像重点实验室研发影像组学新技术:实现胃癌隐匿性腹膜转移智能诊断的新突破
2019-03-04
中科院分子影像重点实验室成功研发AI新技术 实现光学散射断层成像的肿瘤检测新突破
2018-11-23
自动化所分子影像北京市重点实验室绩效考评获得优秀
2018-07-26
2018第十届分子影像技术进展与应用研讨会即将在北京中科院自动化所召开
2018-07-26
中科院分子影像重点实验室田捷研究员当选国际医用磁共振学会会士(ISMRM Fellow)
2018-07-26
天坛医院与中科院合作新成果:人工智能预测脑胶质瘤相关癫痫发生
2018-05-30
中科院分子影像重点实验室成功研发AI新技术 实现乙肝纤维化临床智能诊断的新突破
2018-04-23
中国科学院科技服务网络(STS)计划项目“区域远程医疗协同影像诊断科技服务网络”顺利通过验收
2018-04-11
中国科学院分子影像重点实验室田捷研究员团队 配合合作医院在肺癌影像组学方向实现新突破
2018-04-11
我所田捷研究员承担的科技部2017年度“纳米科技”重点专项项目启动会顺利召开!
2018-01-18
中科院打造基于人工智能的肿瘤定量辅助诊断平台助力分级诊疗
2018-01-17
中国科学院分子影像重点实验室田捷研究员受邀担任European Radiology期刊编委
2018-01-11
共73条记录 2/4页
首页
上一页
下一页
尾页
第
1
2
3
4
页